Do Better-Governed Countries Attract More Investment? A Look at the Data
A data-driven exploration to assess if governance quality relates to foreign investment across the world's fastest-growing economies, featuring multi-year WGI trends, FDI patterns, and country-level insights.
4/10/20251 min read


🌍 Do Better-Governed Countries Attract More Investment? A Look at the Data
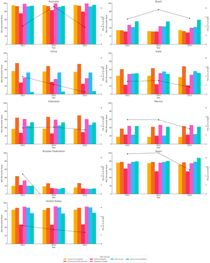
This chart explores how governance quality aligns with foreign investment across the world’s top 10 fastest-growing economies with GDP over $1 trillion—including India, China, Brazil, Indonesia, and Russia.
Using six World Governance Indicators (WGI)—like Control of Corruption, Regulatory Quality, and Voice & Accountability—we plotted changes over 2021 to 2023 and compared them with Foreign Direct Investment (FDI) as a percentage of GDP. Each country shows WGI indicators grouped by year, with a clear line tracing its FDI trend.
The results? Not as straightforward as you might expect.
While governance generally improved or remained stable in countries like India (7.8% growth) and China (5.2%), their FDI percentages declined in 2023. This suggests that good governance is only part of the equation—macroeconomic trends, global uncertainty, and investor sentiment may outweigh institutional progress in the short term.
In stark contrast and more obviously, Russia saw steep declines across almost every governance metric, accompanied by a significant fall in FDI—clearly illustrating how institutional erosion repels investors.
Interestingly, Brazil and Mexico maintained fairly consistent FDI levels despite only moderate improvements in governance. This hints at other factors at play: resource availability, market potential, or regional dynamics.
In short: Better governance helps, but it's not always enough. FDI follows opportunity—but also certainty. And governance is just one piece of that puzzle.
There’s a strong opportunity to scale this analysis—by grouping countries by region or economic tier, extending the timeline, and layering in additional governance and macroeconomic indicators—to surface richer, more actionable insights.
Interested in a further deep dive or want access to the formatted data set ? contactus@btrackdata.com
Citation:
Worldwide Governance Indicators, 2024 Update, World Bank (www.govindicators.org), Accessed on 10/30/2024.
FDI as a percentage of GDP from https://data.worldbank.org/indicator/BM.KLT.DINV.CD.WD